Le calcul quantique appliqué à la recherche en supraconductivité

Par Jérôme Leblanc, étudiant au baccalauréat en physique et stagiaire à l’AlgoLab (automne 2022)
L’une des grandes ambitions de la physique moderne est de trouver un matériau permettant la supraconductivité à haute température. En effet, dans un monde hautement dépendant de l’électricité et de plus en plus soucieux de son impact sur les changements climatiques, il serait révolutionnaire d’avoir des matériaux conduisant cette dernière sans perte d’énergie. C’est ce phénomène que l’on appelle la supraconductivité. Celle-ci a déjà été observée, mais seulement dans des conditions impliquant de très basses températures (le record à pression normale est −135 °C), ce qui est peu pratique pour des applications commerciales et industrielles. Un exemple de telles applications est le projet Holbrook à New York, un câble supraconducteur alimentant le poste électrique souterrain à Long Island. Ce câble de 600 mètres peut transporter un courant maximum de 2400 ampères à 138 kilovolts! On voit donc pourquoi il y a un engouement à trouver un matériau supraconducteur à température élevée.
Afin de comprendre comment fonctionne la supraconductivité, on s’intéresse au comportement des électrons au sein d’un matériau donné puisque ceux-ci sont les acteurs principaux dans le phénomène étudié. Dans le cadre de la physique théorique, ceci se traduit souvent par la mise en place de simulations numériques utilisant des modèles qui, bien qu’ils effectuent certaines approximations, fournissent une description réaliste de la dynamique des électrons.
Cependant, simuler un système d’électrons corrélés entre eux sur un ordinateur classique requiert une puissance de calcul augmentant exponentiellement avec le nombre d’électrons impliqués. Par exemple, simuler un système de deux électrons peut prendre moins d’une seconde. À dix électrons, on dépasse déjà la minute. À 100 électrons, on atteint des temps de calculs pouvant se compter en dizaines d’années. Inutile d’expliquer en quoi ceci rend l’obtention de résultats concluants plutôt difficile. Bien sûr, on voudrait simuler le plus de particules possible, puisque dans les matériaux d’intérêt on doit composer avec plus de 1023 électrons par mole de matière!
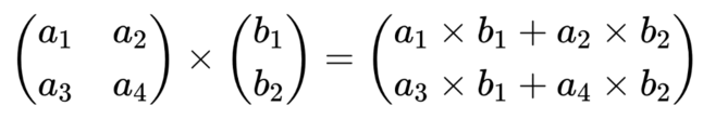
Un calcul récurrent dans ce domaine est celui qui consiste à appliquer des opérateurs sur des états. On peut résumer ce calcul par la multiplication d’une matrice et d’un vecteur comme dans l’exemple suivant :
Même si c’est un exemple simple, remarquez tout de même que pour une matrice 2×2 (à gauche), les composantes des lignes se retrouvent toutes multipliées par les composantes du vecteur (au centre). On a 4 multiplications et 2 additions. Bien qu’il ne s’agît pas d’un calcul très lourd, les choses se compliquent avec de plus grandes tailles de nos objets mathématiques. Typiquement, le nombre de colonnes et de lignes dans la matrice et le vecteur augmente comme suit :
Ce qui veut dire que pour seulement 4 électrons, on se retrouve avec une matrice 256×256, 65 536 multiplications et 65 280 additions. Pour seulement 4 électrons et une seule opération (on veut en faire beaucoup plus), cette complexité algorithmique grandissante pose problème.
C’est ici qu’entre en scène l’ordinateur quantique. Contrairement à l’ordinateur classique qui fonctionne avec des bits dont les valeurs prennent soit 0 ou 1, l’ordinateur quantique utilise des qubits, qui peuvent prendre les valeurs 0, 1 et être en superposition de 0 et 1. Comme le comportement de ces qubits est régi par les mêmes lois quantiques dictant le comportement des électrons que l’on cherche à simuler, effectuer les simulations de ces derniers à l’aide de qubits est beaucoup plus facile qu’avec des bits. Il est alors possible de concevoir un programme quantique simulant le système d’intérêt.
L’ordinateur quantique est donc une solution au problème énoncé plus haut puisqu’appliquer un opérateur (une matrice) sur un état (un vecteur) pour lui est une opération élémentaire.
Comme mentionné précédemment, les systèmes physiques réels font intervenir des nombres phénoménaux d’électrons (>1023). Avec les ordinateurs quantiques actuels, nous n’avons pas l’espoir de simuler autant de particules simultanément à court terme. Il faut faire usage d’approximations telles que les méthodes d’amas quantiques permettent de calculer la dynamique de systèmes de tailles réalistes, à partir d’un calcul de la dynamique de systèmes de taille arbitrairement petit. Plus les amas sont grands, plus la qualité de la simulation est grande ! Lorsqu’on utilise un ordinateur classique pour faire ce calcul, nous sommes limités à des amas contenant moins de 20 électrons avec aucun espoir d’aller au-delà de ce nombre. Avec un ordinateur quantique, on pourrait raisonnablement effectuer des simulations de plusieurs centaines d’électrons.
Les recherches actuelles dans ce domaine se concentrent à calculer la dynamique pour un nombre restreint d’électrons à l’aide de programmes quantiques afin de vérifier la précision de ces résultats par rapport aux calculs classiques. On effectue alors ces calculs pour des systèmes de plus grandes tailles pour éventuellement surpasser les capacités de l’ordinateur classique. Il sera alors possible d’accélérer les simulations permettant d’identifier un matériau supraconducteur à haute température, et potentiellement contribuer à révolutionner la façon dont on distribue l’électricité.

