Aller au contenu

Tu veux ma photo, banane?

Marty McFly et Doc Emmett Brown reviennent vers le futur

Des circuits temporels, un peu de plutonium, un convecteur temporel et 88 miles (à prononcer à l'anglaise) à l'heure. C'est tout ce qu'il faut pour que Doc et Marty puissent voyager dans le temps et passer du 26 octobre 1985 au mercredi 21 octobre de l'an 2015, à 16 h 29.

Est-ce que tout ça est bien réaliste? Existe-t-il des portails spatio-temporels? Des trous de vers qui formeraient des raccourcis dans l'espace-temps?

La théorie de la relativité permet de formuler une ébauche de réponse quant à ce qu'on appelle la « dilatation du temps ». Une horloge en orbite autour de la Terre égrène le temps moins rapidement qu'une horloge demeurée sur le plancher des vaches. C'est un fait qu'ont prouvé maintes expériences.

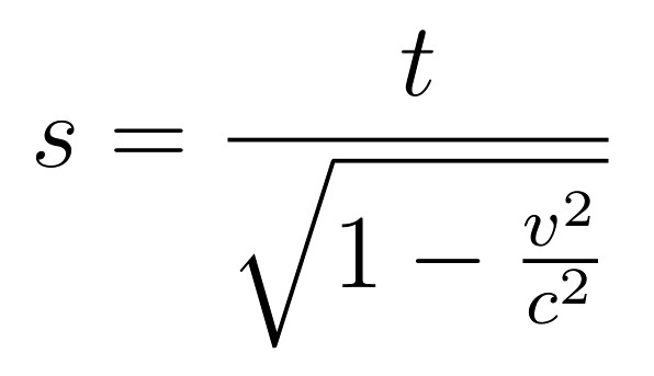
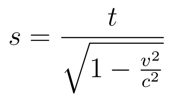
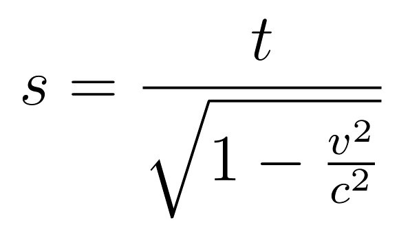
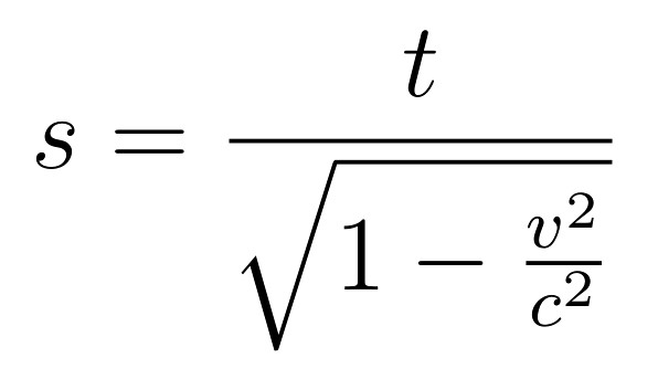
Supposons qu'un astronaute est à bord de la station spatiale internationale, qui voyage, grosso modo, à v = 27 720 km/h (c'est-à-dire environ 7 700 m/s). Lui et le centre de contrôle de Houston démarrent tous les deux leur chronomètre hyper précis. Au bout de 365,24219879 jours (une année astronomique, ou encore 31 556 925,98 secondes), l'astronaute demande à Houston de lui donner la lecture du chronomètre resté sur Terre. Celui-ci indiquera alors s = 31 556 925,99 secondes. Le contrôleur à Houston aura donc vieilli d'un centième de seconde de plus que l'astronaute à bord de la station spatiale, comme si l'astronaute avait voyagé dans le futur d'un centième de seconde. Tout cela est régi par l'équation ci-contre où c = 299 792 458 m/s est la vitesse de la lumière.

Le record actuel est détenu par Sergei Krikalev, cosmonaute russe qui a « voyagé dans le temps » durant un peu plus de deux centièmes de seconde.

Et McFly là-dedans?

Entre le 26 octobre 1985 à 21 h et le 21 octobre 2015 à 16 h 29, il s'est écoulé = 946 684 800 secondes.

Pour que son voyage dans le temps lui paraisse instantané (disons que la DeLorean n'a mis que t = 1 s à franchir le spectre spatio-temporel), il aurait dû voyager à v = 299 792 457,99 999 999 983 m/s, c'est-à-dire à 0,17 nanomètre par seconde moins rapidement que la vitesse de la lumière.

0,17 nanomètre, c'est l'épaisseur d'un atome.

Nom de Zeus!, se serait sans doute exclamé Doc Brown.