|
MAÎTRISES EN SCIENCES HUMAINES
ÉCONOMIQUE (R) (1), ÉCONOMIQUE - RÉGIME COOPÉRATIF (COURS) (1), GÉOGRAPHIE AVEC CHEMINEMENT EN GÉOMATIQUE (R) (2), GÉOGRAPHIE CHEMINEMENT GEOGRAPHIE HUMAINE/AMÉNAGEMENT (R) (1), GÉOGRAPHIE CHEMINEMENT GÉOGRAPHIE PHYSIQUE APPLIQUÉE (R.) (2), HISTOIRE (R) (6), HISTOIRE/PERFECTIONNEMENT DE L'ENSEIGNEMENT(COURS) (1), HISTOIRE-CONCENTRATION EN PRODUCTION MULTIMÉDIA (COURS) (2), PHILOSOPHIE (R) (1)
| Personnes rejoignables |
44 |
|
|
Hommes |
Femmes |
| Nombre de répondants |
17 |
38,6 % |
|
7 ( 41 %) |
10 ( 59 %) |
Note : les pourcentages ne sont pas affichés pour les questions ayant 5 répondants ou moins.
| Situation des diplômés à la 1re semaine
davril 2007 et 2008 |
| |
Avril 2007 |
|
Avril 2008 |
| |
Nombre |
% |
|
Nombre |
% |
| Sur le marché du travail |
15 |
88,2 |
|
15 |
88,2 |
| Aux études |
2 |
11,8 |
|
2 |
11,8 |
| Inactifs professionnellement |
0 |
0,0 |
|
0 |
0,0 |
| Nombre total |
17 |
|
|
17 |
|
| Situation des diplômés sur le marché du
travail à la 1re
semaine davril 2007 et 2008 |
| |
Avril 2007 |
|
Avril 2008
|
| |
Nombre |
% |
|
Nombre |
% |
| En EMPLOI |
13 |
86,7 |
|
13 |
86,7 |
| Ayant un emploi à temps plein |
11 |
73,3 |
|
13 |
86,7 |
| Ayant un emploi à temps partiel |
1 |
6,7 |
|
0 |
0,0 |
| Ayant plusieurs emplois à temps partiel |
1 |
6,7 |
|
0 |
0,0 |
| Au CHÔMAGE |
2 |
13,3 |
|
2 |
13,3 |
| Nombre total |
15 |
|
|
15 |
|
| |
|
|
|
|
|
| En emploi et poursuivant des études |
1/13 |
|
|
1/13 |
|
| Période écoulée
pour obtenir un 1er emploi à
temps plein |
Total |
13 |
| |
Nombre |
% |
|
|
Nombre |
% |
| Aucun délai |
3 |
23,1 |
|
De 9 à 12 mois |
0 |
0,0 |
| De 0 à 3 mois |
2 |
15,4 |
|
De 12 à 18 mois |
2 |
15,4 |
| De 3 à 6 mois |
0 |
0,0 |
|
18 mois et plus |
2 |
15,4 |
| De 6 à 9 mois |
1 |
7,7 |
|
Déjà en emploi avant les études |
3 |
23,1 |
|
Données relatives à lEMPLOI pour la 1re
semaine davril 2008 |
| Correspondance études/travail |
Total |
13 |
|
Type de travail |
Total |
13 |
| |
Nombre |
% |
|
|
Nombre |
% |
| Emplois reliés |
10 |
76,9 |
|
Permanent |
10 |
76,9 |
| |
|
|
|
Temporaire renouvelable |
3 |
23,1 |
| Emplois non reliés |
3 |
23,1 |
|
Temporaire non renouvelable |
0 |
0,0 |
| |
|
|
|
Temporaire mais ignore si renouvelable ou non |
0 |
0,0 |
| Raison principale
dun travail non relié à la formation |
Total |
0 |
| |
Nombre |
% |
|
|
Nombre |
% |
| Occasion d'entrer dans l'entreprise |
0 |
|
|
Pas trouvé d'emploi dans mon domaine |
0 |
|
| J'ai pris le premier emploi disponible |
0 |
|
|
Correspond à d'autres études |
0 |
|
| L'emploi m'intéressait davantage |
0 |
|
|
J'ai conservé mon ancien emploi |
0 |
|
| Mes intérêts ont changé |
0 |
|
|
Autre raison |
0 |
|
|
Nombre total
dheures de travail par semaine
|
| Travail à temps plein |
Total |
13 |
|
Travail à temps partiel |
Total |
0 |
| |
Nombre |
% |
|
|
Nombre |
% |
| De 30 à 45 h |
11 |
84,6 |
|
Moins de 10 h |
0 |
|
| De 46 à 54 h |
1 |
7,7 |
|
De 10 à 19 h |
0 |
|
| 55 h et plus |
1 |
7,7 |
|
De 20 à 29 h |
0 |
|
| |
|
|
|
De 30 à 45 h |
0 |
|
|
Salaire
|
| Travail à temps plein |
Total |
13 |
|
Travail à temps partiel |
Total |
0 |
| Salaire annuel |
Nombre |
% |
|
Salaire horaire |
Nombre |
% |
| Moins de 30 000 $ |
1 |
7,7 |
|
Moins de 18,00 $ |
0 |
|
| De 30 à 41 999 $ |
5 |
38,5 |
|
De 18 à 25,99 $ |
0 |
|
| De 42 à 50 999 $ |
3 |
23,1 |
|
De 26 à 33,99 $ |
0 |
|
| De 51 à 62 999 $ |
4 |
30,8 |
|
De 34 à 41,99 $ |
0 |
|
| De 63 à 71 999 $ |
0 |
0,0 |
|
De 42 à 49,99 $ |
0 |
|
| De 72 à 80 999 $ |
0 |
0,0 |
|
50 $ et plus |
0 |
|
| 81 000 $ et plus |
0 |
0,0 |
|
|
|
|
| Raison principale
dun travail à temps partiel |
Total |
0 |
| |
Nombre |
% |
|
|
Nombre |
% |
| Seul emploi dans mon domaine |
0 |
|
|
Occasion dentrer dans lentreprise |
0 |
|
| Pour rester dans ma région |
0 |
|
|
Pas trouvé demploi à temps plein |
0 |
|
| À la suite de coupures |
0 |
|
|
Par choix |
0 |
|
| Ma situation ne me permettait pas de travailler à temps plein |
0 |
|
|
Pour étudier
Autres |
0
0 |
|
Commentaires
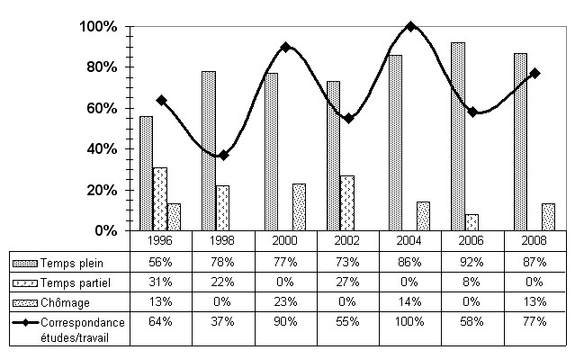
Comparé aux relances antérieures, l'accès au marché du travail s'est généralemnt amélioré: - les emplois sont tous à temps plein; - la correspondance études-travail est en hausse; - les emplois précaires (temporaires) sont moins fréquents. Par contre, pour un certains nombre d'entre eux, accéder à un travail à temps plein a été passablement long et le taux de chômage reste relativement élevé. |

|
Données
relatives à la FORMATION et aux ÉTUDES
|
| Activités de FORMATION entreprises depuis la
fin des études |
Cours d'anglais (2) Cours de littérature française
|
|
Colloque sur la sécurité publique Formation en model builder ArcGIS
|
| Programmes dÉTUDES supplémentaires
entrepris après le diplôme de deuxième cycle |
Doctorat en histoire Microprogr. 2e cycle enseignement collégial Tech. d'acupuncture
|
|
Dipl. de 2e cycle gestion de projet Certificat en administration Tech. de soins infirmiers
|
| Motif principal de la
poursuite des études |
Total |
5 |
| |
Nombre |
% |
|
|
Nombre |
% |
| Pas trouvé demploi |
1 |
|
|
Augmenter mes compétences |
0 |
|
| Pas trouvé demploi satisfaisant |
0 |
|
|
Intérêt pour les études |
1 |
|
| Augmenter mes possibilités demploi |
0 |
|
|
Changer de domaine de formation |
1 |
|
| Exigence de la profession |
0 |
|
|
Exigence de lemployeur |
0 |
|
| Obtenir poste ou salaire plus élevé |
2 |
|
|
Autre |
0 |
|
| Lien entre les
études supplémentaires et celles de 2e
cycle |
Total |
5 |
| |
Nombre |
% |
|
|
Nombre |
% |
|
|
Nombre |
% |
| Même domaine |
1 |
|
|
Domaine connexe |
0 |
|
|
Autre domaine |
4 |
|
ÉCONOMIQUE (R) |
| Professeur au collégial |
|
| |
- Planification et préparation des cours.
- Enseignement de l'économie.
- Encadrement des étudiants.
- Évaluation des apprentissages et correction des travaux et examens.
- Coordination du département d'économie.
- Responsable du stage de coopération internationale pour les sciences humaines.
|
|
|
ÉCONOMIQUE - RÉGIME COOPÉRATIF (COURS) |
| Économiste en prix de transfert |
|
| |
- Définir et documenter les politiques de prix de transfert (prix des transactions entre sociétés d'un même groupe mais résidentes de pays différents-ce qui suppose le passage de frontières).
- Établir les prix normatifs (de pleine concurrence), c'est à dire les prix qui auraient prévalu entre deux sociétés indépendantes.
- Concevoir les schémas juridiques et fonctionnels destinés à gérer l'exposition et le risque fiscal pour le client.
- Prêter assistance lors de contrôle fiscal et de contentieux.
- Constituer le dossier d'Accord Préalable de Prix avec les administrations fiscales étrangères.
|
|
|
GÉOGRAPHIE AVEC CHEMINEMENT EN GÉOMATIQUE (R) |
| Conseiller en géomatique |
|
| |
- Production de matrices graphiques numérisées.
- Création de nouveaux outils et mise à l'essai de ceux-ci.
- Soutien à la formation.
|
|
- Société d'expertise conseil en géomatique
|
| Agent de projets |
|
| |
- Développement d'applications géomatiques à partir des données d'observation de la terre (ressources en eau, interventions en cas de catastrophes naturelles, etc.).
- Voyages sur la scène nationale et internationale pour le développement d'affaires et de collaboration.
- Gestion de projets.
|
|
|
GÉOGRAPHIE CHEMINEMENT GEOGRAPHIE HUMAINE/AMÉNAGEMENT (R) |
| Coordonnateur au transport collectif |
|
| |
- Assurer la gestion et le suivi des opérations de transport collectif et adapté de huit municipalités et un arrondissement.
- Planifier et développer le réseau.
- Veiller à l'expérimentation et à l'implantation des cartes à puce et au système de perception électronique.
- Mener diverses études.
- Rédiger des rapports.
|
|
|
GÉOGRAPHIE CHEMINEMENT GÉOGRAPHIE PHYSIQUE APPLIQUÉE (R.) |
| Directeur général |
|
| |
- Planifier et coordonner les activités de l'organisme.
- Gérer les ressources financières, matérielles et humaines.
- Administrer et coordonner les différents projets.
- Apporter un support scientifique et technique.
- Représenter l'organisme.
|
|
- Organisme sans but lucratif de bassin versant
|
HISTOIRE (R) |
| Archiviste |
|
| |
- Assurer le suivi, le contrôle et la mise à jour du système de gestion, de classification et d'indexation des documents.
- Procéder à différentes recherches et analyses.
- Assister les usagers dans la consultation des archives.
- Veiller à la conservation et, si nécessaire, à la restauration, des documents textuels, iconographiques, sonores, des cartes, des plans, du matériel audio-visuel, etc.
|
|
|
| Chargé de cours |
|
| |
- Préparation des cours et du matériel pédagogique.
- Enseignement au département de politique appliquée.
- Évaluation des apprentissages.
- Préparation et correction d'examens et de travaux.
- Encadrement des étudiants.
- Mise à jour des connaissances.
- Tâches administratives.
|
|
|
| Agent de migration |
|
| |
- Lutter contre l'exode rural et favoriser la migration des jeunes diplômés en région.
- Offrir des séjours exploratoires.
- Organiser des activités pour développer le sentiment d'appartenance des adolescents envers leur région.
- Procéder à des levées de fonds pour assurer la viabilité du projet et sensibiliser la population.
|
|
- Carrefour jeunesse emploi
|
HISTOIRE/PERFECTIONNEMENT DE L'ENSEIGNEMENT(COURS) |
| Superviseur des activités de loisirs |
|
|
HISTOIRE-CONCENTRATION EN PRODUCTION MULTIMÉDIA (COURS) |
| Coordonnateur de l'animation scolaire et communautaire |
|
| |
- Coordonner un événement annuel qui a recours au théâtre historique et aux démonstrations de métiers ancestraux afin de faire découvrir l'histoire des francophones de la région.
- Animer des ateliers historiques dans les écoles et assister aux foires du patrimoine.
|
|
|
| Gérant de service |
|
|
PHILOSOPHIE (R) |
| Professeur de philosophie |
|
| |
- Planification et préparation des cours.
- Enseignement.
- Évaluation des apprentissages.
- Correction des travaux et des examens.
- Encadrement des étudiants et disponibilité.
- Participation à la vie départementale.
|
|
|
|